Actualmente estás en: Perú Perú
Equipos de laboratorio Kasalab Perú - Conectamos con ciencia
Cotizar
Inicio /

Sistema de Medición de Fluorescencia de Plastocianina, Ferredoxina y Clorofila DUAL-KLAS-NIR

Descripción

Suministros de laboratorio Kasalab le ofrece Sistema de Medición de Fluorescencia de Plastocianina, Ferredoxina y Clorofila DUAL-KLAS-NIR entre su amplia gama de equipos para laboratorio para la venta en Perú.

Introducción

El Sistema de Medición de Fluorescencia de Plastocianina, Ferredoxina y Clorofila DUAL-KLAS-NIR representa un avance significativo con respecto al sistema DUAL-PAM-100, que ya está bien establecido. El DUAL-PAM-100 emplea un par de longitudes de onda en el infrarrojo cercano (NIR) para medir los cambios de absorción relacionados con los cambios redox del centro de reacción del fotosistema I. Al utilizar cuatro pares de longitudes de onda en el NIR, el DUAL-KLAS-NIR es capaz de discriminar de manera inequívoca los cambios redox de la plastocianina (PC), el centro de reacción de PS I (P700) y la ferredoxina (Fd). Mediante la aplicación de un enfoque analítico innovador, el DUAL-KLAS-NIR adquiere las características espectrales in vivo de PC puro, P700 y Fd. Esta información espectral permite al usuario monitorear en línea los cambios redox de P700, PC y Fd, y determinar las proporciones de PC/P700 y Fd/P700. Al igual que el DUAL-PAM-100, el DUAL-KLAS-NIR también es un fluorómetro de clorofila PAM. El dispositivo puede excitar la fluorescencia mediante luz de medición PAM verde o azul. La luz verde penetra más profundamente en la hoja que la luz azul. Por lo tanto, la fluorescencia excitada por el verde incluye información de las capas más profundas de la hoja y, por lo tanto, es adecuada para la comparación con las mediciones de absorción NIR, que siempre examinan toda la hoja. El software del DUAL-KLAS-NIR comparte muchas características con el del DUAL-PAM-100. Por lo tanto, comenzar a utilizar el DUAL-KLAS-NIR es particularmente sencillo para los usuarios del DUAL-PAM-100. Mediante las rutinas de medición automatizadas del software DUAL-KLAS-NIR, se pueden realizar fácilmente incluso protocolos de medición complejos.

Características destacadas del Sistema de Medición de Fluorescencia de Plastocianina, Ferredoxina y Clorofila DUAL-KLAS-NIR

  • El DUAL-KLAS-NIR es el único instrumento que puede dividir las señales NIR (en tiempo real) en contribuciones de P700, ferredoxina y plastocianina.
  • Proporciona estimaciones de las proporciones de P700 a plastocianina y de P700 a ferredoxina y, por lo tanto, de los tamaños de los depósitos.
  • La medición simultánea de dos señales de fluorescencia y los estados redox de plastocianina, P700 y ferredoxina permiten al usuario caracterizar toda la cadena de transporte de electrones en una sola medición.
  • Los instrumentos NIR DUAL-KLAS pueden medir en modo de 1, 2 o 6 canales, con resoluciones de tiempo de 35 µs, 150 µs y 1 ms, respectivamente.
  • La técnica de modulación de pulsos desarrollada para el DUAL-PAM-100, en la que los diferentes canales se miden como bloques de 50 µs, se ha ampliado para el DUAL-KLAS-NIR para acomodar mediciones de 6 canales (ver Fig. 2).
  • El DUAL-KLAS-NIR utiliza luz de medición verde para las mediciones de fluorescencia con el fin de obtener la mejor correspondencia posible entre las mediciones de fluorescencia y absorbancia. Un segundo canal de fluorescencia detecta la fluorescencia inducida por la luz de medición azul. La luz de medición azul proporciona información más específica sobre el haz o el envés de la hoja y, además, proporciona una señal de fluorescencia que es un orden de magnitud mayor que la señal inducida por la luz de medición verde.
  • LED actínicos rojos, azules y rojos lejanos integrados, en los que el conjunto de LED rojos de 635 nm se utiliza como fuente de luz para la iluminación actínica continua, los pulsos de rotación múltiple y los destellos de rotación única. El LED azul de 460 nm en la unidad de detección permite una iluminación continua con hasta 300 µmol m -2 s -1 desde el lado del detector de la muestra.
  • La medición de cuatro pares de longitudes de onda en el infrarrojo cercano: 785-820, 820-870, 870-950, 840-950 nm.
  • Se pueden iluminar ambos lados de la hoja para conseguir la iluminación más homogénea posible de la hoja.
  • Un rango extremadamente amplio de frecuencias de luz de medición (1 Hz a 400 kHz) permite la evaluación continua del nivel de F O así como el registro de transitorios cinéticos rápidos con alta resolución temporal (por ejemplo, el aumento de fluorescencia polifásica o la cinética de relajación de destello).
  • Todas las fuentes de luz se pueden conmutar con una resolución temporal de 2,5 µs mediante control por software. Si se realizan mediciones de un solo canal, se dispone de un script con el que se pueden medir las diferentes señales consecutivamente con una alta resolución temporal.
  • Otras características técnicas importantes son: 1. Registros automatizados de cinética lenta; 2 ejecuciones activadas preprogramadas; 3. Promedio en línea y fuera de línea; 4. Operación del instrumento a través de rutinas de medición automatizadas (programación de archivos de script).

Espectros de modelos diferenciales (DMP) para la deconvolución de las señales NIR

Los espectros de absorción de P700, plastocianina (PC) y ferredoxina (Fd) son amplios y muestran pocas características en el infrarrojo cercano (NIR). Una complicación adicional es que el coeficiente de extinción de P700 es mucho más alto que el de PC, que a su vez es más alto que el coeficiente de extinción de Fd. Al elegir pares de longitudes de onda específicos, solo es posible obtener señales NIR enriquecidas en Fd (785-820 nm), o P700 (820-870 nm) o PC (870-950 nm). Para llegar a una deconvolución limpia, el software utiliza el enfoque de gráfico de modelo diferencial (DMP), que no requiere conocimiento de espectros de diferencia y la dependencia de la longitud de onda de los coeficientes de extinción diferencial. Christof Klughammer desarrolló por primera vez este método para el KLAS-100, un espectrofotómetro de matriz de LED cinético para el rango de longitud de onda de 510-570 nm. Conocemos muy bien el comportamiento de PC, P700 y Fd en condiciones estándar y, en base a ese conocimiento, podemos diseñar experimentos en los que, durante un corto período de tiempo, solo ocurran cambios redox de uno de los tres componentes (PC, P700 o Fd). Mediante la normalización de los valores determinados para las 4 señales de diferencia, se obtiene una "huella espectral" para cada componente en las condiciones experimentales dadas. Cabe señalar aquí también que los centros de hierro-azufre F A y F B ubicados en el lado aceptor del fotosistema I también pueden contribuir a la señal de Fd.

dual-klas-nir-3-kasalab-colombia.jpg
Cambios de transmitancia de longitud de onda única en una hoja de girasol intacta inducidos bajo condiciones que favorecen cambios redox selectivos de PC, P700 y Fd. El DUAL-KLAS-NIR se utilizó en modo de haz único (Schreiber 2017, Fig. 2). Para más detalles sobre este experimento, consulte la leyenda de la Figura complementaria 4 en Klughammer y Schreiber (2016). La figura muestra que entre 780 y 820 nm, la señal de Fd disminuye en un 30%, mientras que los cambios en la señal de PC y P700 son pequeños o esencialmente cero, respectivamente. Entre 820 y 870 nm hay una gran disminución en la señal P700, mientras que el cambio de señal de PC es relativamente pequeño. El cambio en la señal de Fd también es grande (~60% de cambio), pero la intensidad de la señal de Fd en términos absolutos es mucho menor que la intensidad de la señal P700. Entre 870 y 965 nm, PC y P700 muestran una disminución comparable. El enriquecimiento de PC en este intervalo de longitud de onda es bastante pequeño, pero es lo mejor que se puede hacer. La figura ilustra dos puntos: 1. por qué se eligieron los pares de longitudes de onda particulares utilizados en DUAL-KLAS-NIR y 2. que los valores de longitud de onda precisos de estos pares son menos importantes. Si, por ejemplo, se eligen 950 nm en lugar de 965 nm, eso no afectará el enfoque de deconvolución.
dual-klas-nir-4-kasalab-colombia.jpg
Captura de pantalla del experimento utilizado para obtener el DMP para P700. En una hoja adaptada a la luz que se ilumina con luz roja lejana, un pulso AL de 1 ms induce casi exclusivamente cambios en la señal P700.
dual-klas-nir-5-kasalab-colombia.jpg
Espectros de modelos diferenciales de P700, PC y Fd; el software utiliza estos DMP para deconvolucionar las cuatro señales NIR.

Solicitudes para el DUAL-KLAS-NIR

El DUAL-KLAS-NIR es único en su clase, ya que proporciona señales deconvolucionadas en línea de los estados redox in vivo de P700, PC y Fd en tiempo real. Esto abre un campo de investigación completamente nuevo con aplicaciones que quizás no se nos hayan ocurrido todavía. En particular, por primera vez se puede obtener información cinética simultánea sobre la compleja interacción entre las reacciones en los lados donante y aceptor de PS I, incluida información sobre el transporte cíclico de electrones alrededor de PS I.

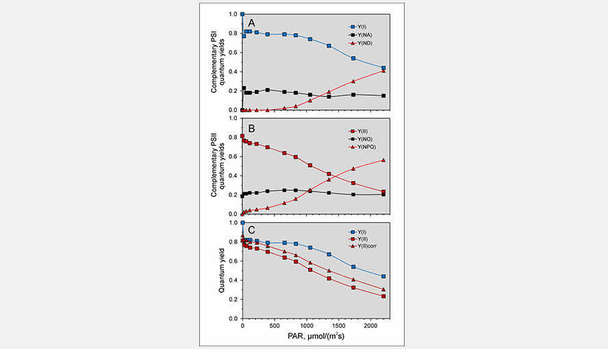
  • Rendimiento cuántico efectivo del fotosistema I.

En todas las mediciones anteriores, la señal P700 contenía siempre contribuciones de Fd y cantidades variables de PC, dependiendo del método utilizado para reducir esta contribución. El panel C de la figura ilustra la dependencia de la intensidad de la luz del rendimiento cuántico efectivo de PSI Y(I), el rendimiento cuántico efectivo de PSII Y(II) y el rendimiento cuántico efectivo de PSII corregido para la fluorescencia de PSI Y(II)corr de Brassica napus .

  • Tamaño efectivo de la antena del fotosistema I.

En una transición de oscuridad a luz, primero comienza a acumularse PC oxidado y solo con cierto retraso el P700 oxidado. La pendiente inicial de la señal de PC limpia ahora se puede utilizar como una medida para el tamaño efectivo de la antena del PS I. La segunda figura amplía los cambios iniciales de absorbancia y muestra la gran diferencia en la pendiente inicial de PC (rojo) y P700 (azul). Para una hoja aclimatada a la oscuridad, con el lado aceptor del fotosistema I inactivo, la pendiente inicial de reducción de Fd también se puede utilizar para este propósito. La figura ilustra el retraso en la cinética de oxidación de P700 en relación con las de PC para una hoja de cebada, que tiene una relación PC/P700 relativamente alta.

  • El DUAL-KLAS-NIR

tiene una ventana para visualizar los cambios simultáneos en los estados redox de P700 y PC entre sí. Esto permite una estimación de la constante de equilibrio aparente entre PC y P700. La figura muestra un ejemplo de un gráfico redox de P700 versus PC.

  • pulso de saturación

Durante un pulso de saturación aplicado a una hoja bien adaptada a la oscuridad, el conjunto de Fd se reduce y en un período posterior de oscuridad se vuelve a oxidar lentamente. Cuando el flujo de electrones en el lado aceptor del PSI se ha activado, la cinética de reoxidación se vuelve mucho más rápida. Después de la activación del lado aceptor del PSI, la inactivación en la oscuridad se puede seguir monitoreando la velocidad a la que el Fd se reoxida después de un pulso de sonda. Estas cinéticas se pueden ajustar con una rutina de ajuste exponencial. El Panel A ofrece ejemplos de la cinética de reoxidación del Fd ajustada con una rutina de ajuste exponencial y el Panel B muestra la cinética de inactivación en la oscuridad del lado aceptor del PSI para una hoja de Hedera helix .

  • cambios máximos de transmitancia

Los cambios máximos de transmitancia NIR de PC, P700 y Fd son proporcionales al contenido de estos compuestos en la hoja/muestra y las proporciones de los coeficientes de extinción de PC, P700 y Fd son constantes. Esto hace posible investigar las proporciones PC/P700 y Fd/P700 y, por lo tanto, los tamaños relativos de los depósitos de PC y Fd en diferentes especies o bajo diferentes condiciones (por ejemplo, sol/sombra, estrés/no estrés) de manera rutinaria con el DUAL-KLAS-NIR. Se observa que las proporciones altas de PC/P700 se correlacionan con valores altos de ETR. La figura ilustra que las hojas de sol y sombra de, en este caso, Hedera helix tienen contenidos de PC y Fd considerablemente diferentes en relación con P700.

Especificaciones para DUAL-KLAS-NIR

  • Unidad de control y potencia DKN-C
    • Diseño general: Microcontrolador: 4 x AVR-RISC (8 MHz) + 4 MB SRAM; se pueden almacenar 256 000 puntos de datos con una resolución de 12 bits
    • Comunicación: Interfaz de PC: compatible con USB 1.1, 2.0 y 3.0
    • Interfaz de usuario: Computadora Windows (Windows 7/8/10) con software KLAS-100
    • Alimentación: Batería de plomo-ácido sellada recargable 12 V/2 Ah; Cargador de batería MINI-PAM/L (100 a 240 V CA)
    • Consumo de energía: Durante el funcionamiento básico 350 mA
    • Tomas: 6 puertos para cabezales (alimentación para luz de medición modulada de longitud de onda simple (2 canales) y longitud de onda doble (4 canales), alimentación para 2 matrices de LED actínicos (una en DKN-E y otra en DKN-D) y 1 matriz de LED de luz de medición NIR (en DKN-E), entrada para 2 detectores (el detector de fotodiodo de DKN-D está conectado al detector 1), toma para agitador (más controlador de velocidad e interruptor de espera), AUX (para sensor cuántico micro esférico US-SQS/WB o sensor cuántico mini con corrección de coseno US-MQS/WB), USB (para cable USB), TRIGGER OUT (salida de señales rectangulares de 5 V para activar dispositivos externos), 2 EXT. SIGNALS (entrada para señales CC externas. Rango 0-1 V o 0-5 V), y CHARGE (para cargador MINI-PAM/L).
    • Dimensiones: 36 cm x 16 cm x 26,5 cm (Ancho x Alto x Profundidad), con asa de transporte.
    • Peso: 5,8 kg
  • Unidad emisora ​​DKN-E
    • Luz de medición: Matriz de LED Chip-On-Board para luz de medición NIR modulada por pulsos de 780, 820, 840, 870 y 965 nm, luz de medición de fluorescencia verde modulada por pulsos (540 nm).
    • Luz actínica: matriz de LED Chip-On-Board (635 nm) para iluminación actínica roja continua (máx. ~3400 µmol fotones m -2 s -1 PAR), que también se puede utilizar para destellos de un solo giro (máx. >28000 µmol fotones m -2 s -1 PAR, longitud 5-50 µs) y pulsos de giro múltiple (MT y SP) (máx. 25000 µmol fotones m -2 s -1 PAR, longitud 1-1000 ms).
    • Dimensiones: 5,5 cm x 9 cm x 4 cm (Ancho x Alto x Profundidad)
    • Peso: 560 g (incl. cables, 1,4 m de largo)
  • Unidad detectora DKN-D
    • Luz de medición: luz de medición de fluorescencia azul modulada por pulsos (460 nm).
    • Luz actínica: luz azul (460 nm) para iluminación azul continua (máx. ~400 µmol m -2 s -1 PAR), matriz de LED Chip-On-Board (635 nm) para iluminación roja continua (máx. ~3400 µmol m -2 s -1 PAR), que también se puede utilizar para saturar destellos de un solo recambio (máx. >28000 µmol m -2 s -1 PAR, longitud 5-50 µs) y pulsos de recambio múltiples (MT y SP) (máx. 25000 µmol fotones m -2 s -1 PAR, longitud 1-1000 ms), luz roja lejana (740 nm) para iluminación roja lejana continua (máx. 400 µmol fotones m -2 s -1 ).
    • Detección de señales: Fotodiodo y preamplificador de pulsos para medir cuatro señales diferenciales de transmisión NIR de longitud de onda dual (780-820, 820-870, 870-965 y 840-965 nm) y dos señales de fluorescencia. La resolución temporal de una medición de un solo canal es de 35 µs, la de una medición de dos canales es de 150 µs y la de una medición de 6 canales es de 1 ms. Se utiliza el mismo detector (protegido por el mismo conjunto de filtros) para las mediciones de fluorescencia y transmisión NIR. El conjunto de filtros deja pasar longitudes de onda > 750 nm.
    • Dimensiones: 5,5 cm x 9 cm x 4 cm (Ancho x Alto x Profundidad)
    • Peso: 540 g (incluidos cables, 1,4 m de longitud)
  • Caja de transporte DKN-T
    • Diseño: Caja de aluminio con embalaje de espuma personalizado para DUAL-KLAS-NIR y accesorios
    • Dimensiones: 60 cm x 40 cm x 34 cm (largo x ancho x alto)
    • Peso: 5 kg
  • Sistema de posicionamiento lineal 3010-DUAL/B
    • Diseño: Consta de una placa base de aluminio anodizado negro con cremallera en la que se monta un soporte para cabezal de medición sobre una platina móvil que se puede colocar con precisión a lo largo de la cremallera mediante una perilla de ajuste lateral. Incluye una varilla de soporte de laboratorio de 13 cm, que se puede fijar (atornillar) a la parte inferior de la placa base, y una llave Allen de 3 mm
    • Dimensiones: 18,5 cm x 11,5 cm x 12 cm (largo x ancho x alto, máximo sin varilla de soporte de laboratorio)
    • Peso: 1050 g
  • Cubeta de intercambio de gases DUAL-PAM-100 3010-DUAL
    • Diseño: Cubeta compuesta por un sándwich de dos marcos de aluminio de 2 x 2 cm, cada uno de los cuales sujeta la parte final de una varilla de metacrilato estándar Walz para conectar varios cabezales de medición del DUAL-KLAS-NIR. Material de sellado entre los marcos y la hoja: junta de espuma de silicona. Distancia entre la varilla de metacrilato y la hoja: aprox. 1 mm en cada lado de la hoja. Mitades de cubeta superior e inferior separadas neumáticamente, controladas por una unidad reguladora con tomas para conexiones de cables a la unidad de control 3000 C del GFS-3000. Área de la hoja examinada: 1,3 cm2 . Medición de la temperatura de la hoja: termopar, rango de -10 a +50 °C, precisión ±0,2 °C. Sensor microcuántico MQS/A con corrección de coseno externo para mediciones de PAR en un rango de 0 a 2500 µmol m -2 s -1 , precisión ±5%
    • Temperatura de funcionamiento: -5 a +45 °C
    • Dimensiones: Cubeta ensamblada: 10 cm x 4 cm x 12 cm (L x An x Al), caja electrónica: 7 cm x 7 cm x 15 cm (L x An x Al)
    • Peso: Cubeta, unidad reguladora, cables y marco de montaje: 1,7 kg; soporte de montaje ST-101: 2 kg
  • Unidad óptica para suspensiones ED-101US/MD
    • Diseño: Cuerpo de aluminio anodizado negro con cubeta central de vidrio estándar de 10 x 10 mm; para la conexión de la unidad emisora ​​DKN-E, la unidad detectora DKN-D y el agitador magnético en miniatura PHYTO-MS; puertos adicionales para la conexión de dos unidades emisoras o detectoras adicionales.
    • Peso: 750 g
  • Accesorios para ED-101US/MD
    • Bloque de control de temperatura ED-101US/T: Bloque seccionado con abertura central de 10 x 10 mm para montar en la parte superior de la unidad ED-101US/MD; para conectar a un baño de agua externo con flujo continuo (no incluido), peso 250 g
    • Agitador magnético en miniatura PHYTO-MS: Basado en el dispositivo fabricado por h+p (tipo Variomag-Mini); con adaptador para ser montado en el puerto inferior de la unidad óptica ED-101US/MD; alimentado y controlado por la unidad de potencia y control DKN-C
    • Sensor cuántico microesférico US-SQS/WB: esfera difusora de 3,7 mm ø acoplada a sensor PAR integrado mediante fibra de 2 mm de diámetro; unidad amplificadora compacta y soporte especial para montaje en unidad óptica ED-101US/MD; para conectar a la unidad de potencia y control DKN-C
  • Unidad de potencia y control US-T/DR
    • Pantalla: Pantalla LCD de tres líneas
    • Rango de control: 0 °C a 50 °C en pasos de 0,1 K
    • Tensión de funcionamiento: 11 V – 14 V CC
    • Corriente máxima Peltier: 1 A
    • Tamaño: 105 mm x 90 mm x 130 mm (Ancho x Alto x Profundidad)
    • Peso: 0,57 kg
  • Cabezal de transferencia de calor Peltier US-T/DS
    • Temperaturas alcanzables: 12 K por debajo de la temperatura ambiente, 15 K por encima de la temperatura ambiente (Cubeta de cuarzo colocada en la Unidad Óptica para Suspensiones ED-101US/MD con 1,5 mL de agua y agitador PHYTO-MS encendido)
    • Tamaño: ø 55 mm, 110 mm de altura
    • Longitud del cable: 130 cm
    • Peso: 0,29 kg (incluido cable)
  • Adaptador de CA
    • Entrada: 100 V – 240 V CA, 1,5 A 50-60 Hz
    • Salida: 12 V CC, 5,5 A
    • Tamaño: 130 mm x 56 mm x 30 mm (largo x ancho x alto)
    • Peso: 0,50 kg (incluido cable)
  • Cubeta para mediciones de absorbancia de baja deriva DUAL-K25
    • Diseño: Cubeta de vidrio de cuarzo, sección transversal: 10 mm x 10 mm, dimensiones externas: 12,5 mm x 12,5 mm x 26 mm (L x A x A). Soporte especial para cubetas para colocar la cubeta entre las unidades de detector y emisor DKN-D y DKN-E del DUAL-KLAS-NIR. Protectores de aluminio anodizado negro en forma de U para filtrar la luz externa. Tres juntas de sellado para proteger el cabezal de medición inferior de derrames.

Complementos

Sensor cuántico mini con corrección de coseno US-MQS/WB
El mini sensor cuántico corregido por coseno MQS-B se puede conectar a la unidad de control DKN-C y se puede utilizar para determinar listas PAR (listas de intensidades de luz determinadas para diferentes configuraciones de medición y luz actínica).
Unidad óptica ED-101US/MD
Para las mediciones con suspensiones mediante cubetas de fluorescencia de 10 x 10 mm, proporcionamos una unidad de aluminio negro (ED-101US/MD). La unidad sostiene la cubeta de fluorescencia en su centro y tiene cuatro puertos de luz para conectar los cabezales de medición estándar del DUAL-KLAS-NIR. Se proporciona una cubierta negra de dos piezas del compartimento de la cubeta con puerto para jeringa.
Accesorio para mediciones de absorbancia de baja deriva DUAL-K25
La cubeta de vidrio de cuarzo DUAL-K25 utiliza una trayectoria óptica vertical y, por lo tanto, reduce la deriva de la línea base causada por la sedimentación de partículas en suspensiones de cloroplastos aislados, algas unicelulares y cianobacterias. La cubeta está integrada en la configuración de medición de hojas del DUAL-KLAS-NIR. La agitación no es posible ni necesaria en esta configuración.
Agitador magnético en miniatura PHYTO-MS
La sedimentación de partículas se evita mediante el uso de un agitador magnético en miniatura (US-MS). El agitador se monta directamente debajo de la cubeta de muestra. Un campo magnético giratorio creado por la punta del agitador impulsa la rotación de una barra agitadora magnética en miniatura en la cubeta. El agitador está conectado a la unidad de control DUAL-KLAS-NIR (DKN-C). La agitación se puede activar y desactivar mediante el software KLAS-100.
Sensor microcuántico US-SQS/WB
El sensor cuántico esférico (US-SQS/WB) permite realizar mediciones precisas de la luz en suspensiones (pero también en el aire). El sensor tiene una esfera pequeña (de 3,7 mm de diámetro) como óptica de entrada que detecta la luz. Cuando el sensor está conectado a la unidad de control DUAL-KLAS-NIR (DKN-C), los datos de intensidad de la luz se adquieren y procesan mediante el software KLAS-100. El sensor es ideal para la medición de listas PAR (listas de intensidades de luz determinadas para diferentes configuraciones de medición y luz actínica).
Unidad de control de temperatura US-T
La unidad US-T consta de un cabezal de transferencia de calor con un elemento Peltier de enfriamiento/calentamiento y una unidad de control y potencia independiente. El cabezal de transferencia de calor está montado sobre una unidad óptica Walz (ED-101US/MD) de modo que la punta de la varilla esté en contacto con la suspensión que se está investigando. La diferencia máxima de temperatura con respecto a la temperatura ambiente es de -12 K y +15 K, respectivamente.
Bloque de control de temperatura ED-101US/T
Para realizar mediciones a temperaturas constantes y definidas, se puede montar un bloque de control de temperatura (ED-101US/T) en la unidad óptica (ED-101US/MD). El bloque consta de una pieza metálica interna de paso continuo, que se presiona ligeramente sobre la cubeta de muestra mediante un mecanismo de resorte, y una pieza externa de espuma para el aislamiento de la temperatura. El control de la temperatura se logra mediante un baño de agua externo de paso continuo (no incluido) conectado al bloque de temperatura.

Productos Recomendados

Sistema de Purificación Automatizado Isopure Mini
Incubadora de convección dual
Agitador Orbital con Incubadora Incu-Shaker 20L
Lampara UV para Laboratorio
WhatsApp
homecrosschevron-right